4、二叉树(Binary Tree)
一、什么是树
1.树的定义
树(Tree):n(n≥0)个结点构成的有限集合。 当n=0时,称为空树; 对于任一棵非空树(n>0),它具备以下性质:
树中有一个称为“根(Root)”的特殊结点,用r表示。
其余结点可分为m(m>0)个互不相交的有限集T1,T2,……,Tm,其中每个集合本身又是一棵树,称为原来树的“子树(SubTree)”。
子树是不相交的
除了根结点外,每个结点有且仅有一个父结点;
一个N个结点的树有N-1条边。
2.树的一些基本术语
1. 结点的度(Degree): 结点拥有子结点的数量 2. 树的度: 最大的结点的度称为树的度 3. 叶结点(Leaf): 度为0的结点 4. 父结点(Parent): 如果有上一个结点,则称这个上一结点是它的父结点,如果没有上一结点,则这个属性则无父结点。 5. 子结点(Child): 若A结点是B结点的父结点,则称B结点是A结点的子结点;子节点也称孩子结点 6. 兄弟结点(Sibling): 具有同一父结点的各结点彼此是兄弟结点。 7. 路径和路径长度: 从结点n1到nk的路径为一个节点序列n1,n2,……,nk,ni是ni+1的父结点。路径所包含边的个数为路径的长度 8. 祖先结点(Ancestor): 沿树根到某一结点路径上的所有节点都是这个结点的祖先结点 9. 子孙结点(Descendant): 某一结点的子树中所有结点是这个结点的子孙 10. 结点的层次(Level): 规定根结点在1层,其它任一结点的层数是其父结点的层数加1。 11. 树的深度(Depth): 树中所有结点的最大层次是这棵树的深度。 12. 森林: m棵不相交的树的集合
二、树的表示
1.儿子-兄弟表示法


三、二叉树
1.定义
二叉树T: 一个有穷的结点集合。 这个结点可以为空 若不为空,则它是由根结点和称为其左子树TL和右子树TR的两个不相交的二叉树组成 二叉树具体五种基本形态 a空树 b只有一个结点 c有一个结点和左子树 d有一个结点和左子树 e有一个结点和左右子树 
 PS:二叉树的子树有左右顺序之分
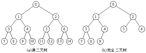
几种特殊二叉树 
 二叉树的抽象数据类型定义 类型名称:二叉树 数据对象集:一个有穷的结点集合。 若不为空,则由根结点和其左、右二叉子树组成。 操作集:BT∈BinTree,Item∈ElementType,重要操作有:
Boolean IsEmpty(BinTree BT); //判别BT是否为空
void Traversal(BinTree BT); //遍历,按某顺序访问某个结点;
BinTree CreatBinTree(); //创建一个二叉树
常用的遍历方法有:
void PreOrderTraversal(BinTree BT); //先序---根、左子树、右子树
void InOrderTraversal(BinTree BT); //中序---左子树、根、右子树
void PostOrderTraversal(BinTree BT); //后序---左子树、右子树、根
void LevelOrderTraversal(BinTree BT); //层次遍历,从上到下、从左到右
2.二叉树的几个重要性质
一个二叉树第i层的最大节点数为 2^i-1^,i≥1。
深度为k的二叉树有最大结点总数为 2^k^-1,k≥1。
对任何非空二叉树T,若n0表示叶结点的个数、n2是度为2的非叶结点个数,那么两者满足关系n0=n2+1。
具有n个结点的完全二叉树的深度k必为log
2n+1
3.二叉树的存储结构
1、顺序存储结构
完全二叉树:按从上至下、从左到右顺序存储n个结点的完全二叉树的结点父子关系
非根结点(序号i > 1)的父结点的序号是 [i / 2] ;(向下取整)
结点(序号为i)的左孩子的序号是 2i(2i ≤ n,否则没有左孩子)
结点(序号为i)的右孩子的序号是 2i+1(2i + 1 ≤ n,否则没有右孩子)
一般二叉树也可采用这种顺序存储结构,但是会造成空间浪费
满二叉树:除最后一层无任何子节点外,每一层上的所有结点都有两个子结点的二叉树,区别于完全二叉树
2、链式存储
(1)定义
typedef struct TreeNode *BinTree;
typedef BinTree Position;
struct TreeNode {
		ElementType Data;
		BinTree Left;
		BinTree Right;
}(2)遍历(递归实现)
先序遍历:
1.先访问根结点; 2.先序遍历其左子树; 3.先序遍历其右子树。
void PreOrderTraversal(BinTree BT) {
	if(BT) {
		printf("%d", BT->Data);
		PreOrderTraversal( BT->Left);
		PreOrderTraversal( BT->Right);
	}
}中序遍历:
1.中序遍历其左子树 2.访问根结点 3.中序遍历其右子树。
void InOrderTraversal(BinTree BT) {
	if(BT) {
		InOrderTraversal( BT->Left);
		printf("%d", BT->Data);
		InOrderTraversal( BT->Right);
	}
}后序遍历:
1.后序遍历其左子树 2.后序遍历其右子树。 3.访问根结点
void PostOrderTraversal(BinTree BT) {
	if(BT) {
		PostOrderTraversal( BT->Left);
		PostOrderTraversal( BT->Right);
		printf("%d", BT->Data);
	}
}(2)遍历(非递归实现)
基本思路:使用堆栈或队列
中序遍历非递归遍历算法
遇到一个结点,就把它压栈,并去遍历它的左子树;
当左子树遍历结束后,从栈顶弹出这个结点并访问它;
然后按其右指针再去中序遍历该结点的右子树。
void InOrderTraversal(BinTree BT) {
	BinTree T = BT;
	Stack S = CreatStack(MaxSize);//创建并初始化堆栈S
	while( T || !IsEmpty(S) ) {
		while(T) {//一直向左并将沿途结点压入堆栈
			Push(S, T);
			T = T->Left;
		}
		if( !IsEmpty(S) ) {
			T = Pop(S);	//结点弹出堆栈
			printf("%5d", T->Data);//访问结点
			T = T->Right;//转向右子树
		}
	}
}层序遍历
需要一个存储结构保存暂时不访问的结点(堆栈、队列) 队列实现:遍历从根节点开始,首先将根节点入队,然后开始执行循环:结点出队、访问该节点、其左右儿子入队 1.根结点入队; 2.从队列中取出一个元素; 3.访问该元素所指结点; 4.若该元素所指结点的左、右孩子结点非空,将其左、右孩子的指针顺序入队。
void LevelOrderTraversal(BinTree BT) {
	Queue Q;  BinTreee T;
	if ( !BT ) return;	//若是空树直接返回
	Q = CreateQueue(MaxSize);//创建并初始化队列Q
	AddQ(Q, BT);
	while( !IsEmpty(Q) ) {
		T = DeleteQ(Q);
		printf("%d\n", T->Data);//访问结点
		if(T->Left) AddQ(Q, T->Left);//将左孩子放入队列
		if(T->Right) AddQ(Q, T->Right);//将右孩子放入队列
	}
}补充知识 数据管理的基本操作之查找:根据某个给定关键字K,从集合R中找出关键字与K相同的记录,分为静态查找与动态查找 静态查找:集合中记录是固定的,没有插入和删除操作,只有查找。 法1:顺序查找 (哨兵概念:在数组的边界上设一个值,碰到哨兵循环就可以结束了,可以少一个分支判断)复杂度O(n); 法2:二分查找 (前提:数组连续且有序) 动态查找:集合中记录时动态变化的,除查找外还可能发生插入和删除
最后更新于
这有帮助吗?